The ASPIRE Study: Assessment of Shoe Performance in Recreational Exercisers
Since the launch of the first commercially available carbon-fiber plated (CFP) shoe in 2016, world records in men’s and women’s long-distance running events, from the 5 km to the marathon, have been broken by elite runners using this advanced footwear technology (10). These shoes feature a stiff carbon-fiber plate embedded within the midsole of the shoe, which is made of a thick layer of lightweight, responsive foam (8, 10, 13, 20). To date, most research on CFP shoes has focused on elite runners, with little to no attention given to recreational runners. This large, collaborative study, funded by a Summer Undergraduate Research Fellowship (SURF), compared running performance, pacing strategies, gait variables, and fatigue in recreational male and female runners wearing CFP running shoes and traditional running shoes. In this group project, each student researcher had a unique focus for which they developed a hypothesis and analyzed data related to specific research objectives.

Allie Petry (left) and Morgan Koskela (right) with study participants in the Robert Kertzer Exercise Physiology Laboratory at UNH. Photo credit: Jeremy Gasowski
Performance and Fatigue
Allison Petry’s aim was to determine the impact of CFP running shoes and traditional running shoes on performance and fatigue. Previous studies have shown improvements in running economy, the energy required to run at a given intensity or speed, when elite athletes wear CFP shoes compared with traditional running shoes. Recent studies attempted to quantify how improvements in running economy translate to running performance during races or simulated races, called time trials (7, 11, 16). Rodrigo-Carranza et al. (2023) reported a five-second mean improvement in a 3 km time trial in elite male runners wearing a CFP shoe (16). Five seconds in a 3 km race is a significant magnitude; that was the difference between first and tenth place in the men’s 3 km in the 2022 World Indoor Track Championships (18). Similarly, Nielson et al. and Hébert-Losier et al. assessed 3 km time trial performance in recreational athletes wearing a CFP shoe and reported mean improvements of nine and seventeen seconds, respectively (7, 11). While these studies are useful, CFP shoes are more frequently used and marketed for longer-distance races, ranging from 5 km to marathon distance. Therefore, our study sought to determine the effect of CFP shoes on longer-distance running performance in a 5 km time trial. We hypothesized that the CFP running shoes would improve running time and reduce fatigue in recreational runners compared with traditional running shoes.
Differences in Pacing Between Male and Female Recreational Runners
Amanda Ares’s aim was to evaluate sex differences in fatigue and pacing. Previous literature on pacing in running races has shown that females are more likely to maintain a steady pace or speed up throughout the race, whereas males tend to start fast and slow down throughout the race (1). This trend is observed more in recreational runners as pacing differences between sexes decrease as fitness levels improve (21). Although previous studies demonstrated that CFP shoes can reduce energy expenditure (10), it is unknown whether these changes in running mechanics influence pacing strategies. We hypothesized that female recreational runners would have a more even pacing strategy than males during a 5 km time trial, regardless of shoe type.
Impact on Gait Variables
Morgan Koskela’s aim was to compare gait variables, such as foot strike, step length, step width, contact time, and center of pressure at the beginning, middle, and end of a 5 km time trial. The CFP in the midsole of the shoe increases the longitudinal bending stiffness (12, 16, 20), which has multiple effects on running gait, including decreased cadence (steps per minute) and increased stride length and flight times (the time the foot is off the ground between strides) (8, 9, 14, 16, 15, 20). Previous research by Hoogkamer et al. reported increases in stride length and flight time of 1.7 percent and 3.2 percent, respectively, but no difference in contact time, in elite male runners wearing CFP shoes (8). In both elite and recreational runners, increases in running performance have been observed alongside increases in stride length (8, 9, 14, 16). In another study, Song et al. reported alterations in internal foot mechanics, including decreases in peak plantar pressure (the pressure around the heel and midfoot) and compressive strain under the forefoot (19). However, an increase in metatarsal stress (stress in the bones before the toes) during foot strike was found when wearing CFP shoes, which could negatively impact running performance by causing pain for a runner (12, 19). We hypothesized that there would be an increase in stride length and flight time, a decrease in cadence and contact time, and alterations to the distribution of pressure within the foot in CFP running shoes compared with traditional running shoes.
Methods

Figure 1: Descriptive characteristics of participants
To accomplish these objectives, we recruited participants aged eighteen to thirty-five, who trained 15–30 miles per week and had previously run a 5-kilometer race within 18–24 minutes for males and 22–29 minutes for females (21). Twenty-one participants visited the Robert Kertzer Exercise Physiology Laboratory in New Hampshire Hall at the University of New Hampshire (UNH) on four occasions: initial visit, familiarization visit, and two testing visits, for a total of ~5 hours of participation. Participant characteristics are displayed in Figure 1.
Visit 1: Initial Visit (~2 hours): Each subject reviewed and signed a UNH IRB-approved informed-consent form. First, we measured their height, weight, and body composition via bioelectrical impedance analysis using the InBody 770. Participants then performed a running protocol that familiarized them with the treadmill and both the non-CFP and CFP shoes that they would wear during the testing visits. Participants ran at a standard pace (females: 6 mph, males: 7 mph) in their own shoes that could not be CFP, in a CFP shoe we provided, and in a non-CFP shoe we provided that was otherwise identical, each for two five-minute bouts, for a total of thirty minutes. Gait data was collected for thirty seconds of each of the five-minute bouts using RunScribe inertial movement units attached to the laces of each shoe. These pods collect multiple data points on each aspect of gait per second and connect to an app to analyze the data. After, participants were familiarized with the isokinetic dynamometer that is used to measure muscular strength of the legs. They performed the same muscular strength protocol that would be followed before the 5 km time trials in the testing visits.
Visit 2: Familiarization Trial (~1 hour): To test baseline muscular strength of the knee extensor (KE) and knee flexor (KF) muscles, participants performed an exercise protocol on the dynamometer, using only the dominant leg. This protocol included three static maximal contractions, in which the participant pushed (KE) or pulled (KF) their leg as hard as they could against the machine. It also included three dynamic contractions, which required them to maximally exert force through the full range of motion for pushing and pulling at three constant speeds that were controlled by the dynamometer: 60°s-1, 180°s-1, and 300°s-1. During this exercise protocol, we recorded measurements of torque pushed or pulled against the dynamometer.
Participants performed the 5 km time trial in this visit wearing their usual shoes, which were fitted with RunScribe inertial movement units during all trials to collect gait variables. We also fitted participants with a heart rate monitor around their torso. During the 5 km time trial, they were blinded to speed, distance, and time, and were instructed to complete the 5 km run as fast as possible. They could freely adjust their speed at any time, and we recorded changes made throughout. At every kilometer, participants were notified of the distance completed, and we recorded the time, speed, heart rate, and rating of perceived exertion (RPE). We used stopwatches to time each run, and obtained distance and speed from the treadmill, peeking under tape covering the treadmill’s display from the participants’ view. To collect RPE, participants pointed to a number from 6 to 20 on a poster displaying the RPE scale (6 indicates rest and 20 indicates maximal exertion). Gait data was recorded via the RunScribe pods for thirty seconds at each mile of the time trials. Upon completion, participants immediately returned to the dynamometer to perform the same strength testing protocol again.
Visits 3 and 4: Testing Trials (~1 hour): Both testing visits followed an identical protocol to the familiarization trial, except the 5 km time trial was completed in either the CFP shoe or the non-CFP shoe in a randomized order, separated by one week.

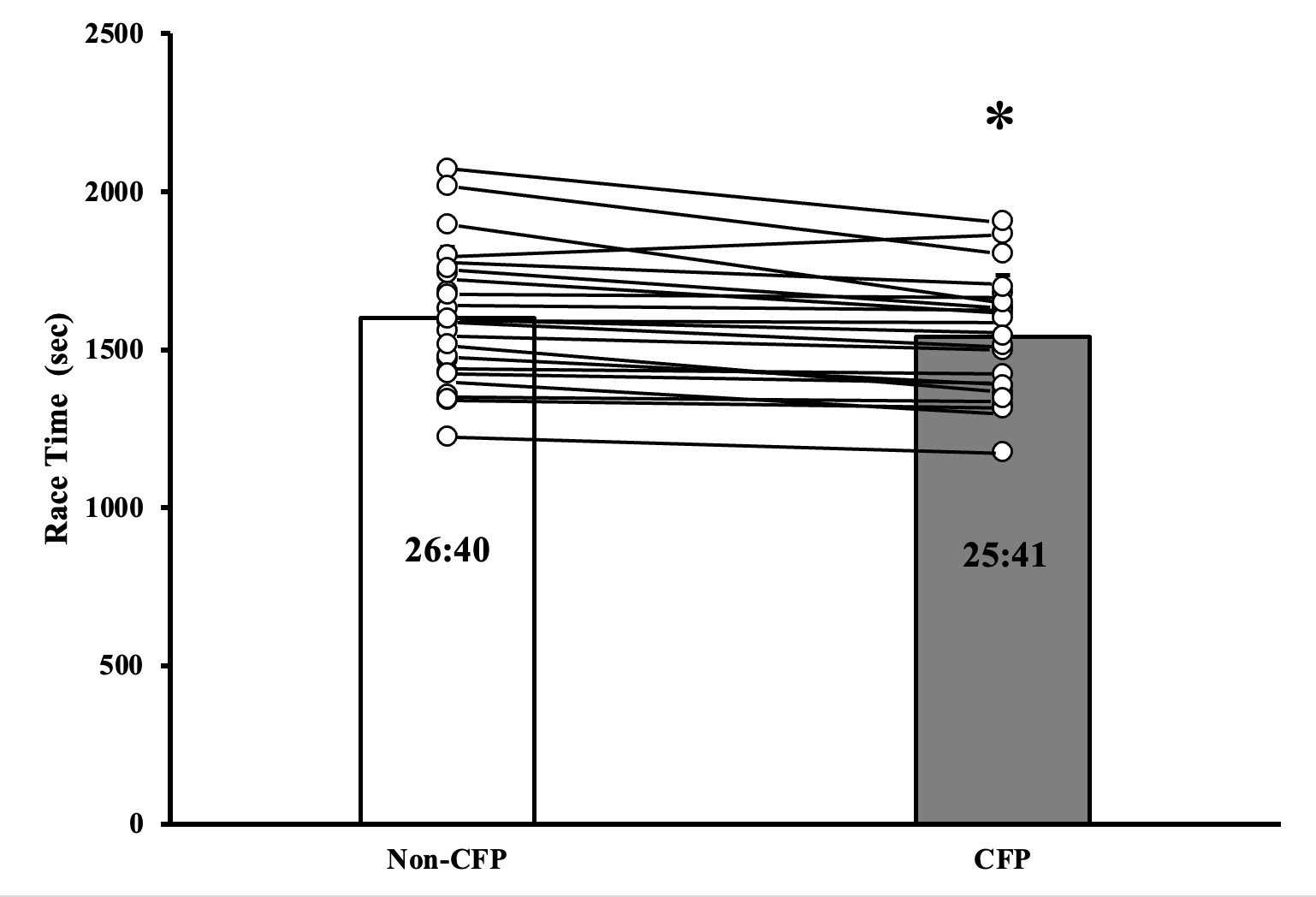
Figure 2. Mean ± S.D. 5 km time to completion (seconds) while wearing non-CFP and CFP shoes. CFP; carbon-fiber plated. *Denotes significance at p<0.05
Results on Performance and Fatigue
Our research revealed that participants ran the 5 km time trial fifty-nine seconds faster in the CFP shoes compared with the non-CFP shoes (Figure 2). Average heart rate and RPE at each kilometer did not differ significantly between the time trials in the CFP and non-CFP shoes. This is noteworthy, because it indicates that participants ran faster in the CFP shoe with no increase in workload of the heart or subjective rating of effort compared with the non-CFP condition.
When considering the improvement of five seconds in a 3 km time trial recorded in elite runners wearing CFP shoes (16), the results of this study suggest that recreational runners may experience larger performance benefits wearing CFP shoes than elite runners. Furthermore, compared with improvements of nine to seventeen seconds in a 3km time trial recorded in recreational male runners wearing CFP shoes (7, 11), it seems that CFP shoes may have greater effects on performance during longer-distance running events.

Figure 3. Mean ± S.D. peak muscle force (Nm) of the KE and KF muscles pre- and post-5 km time trial. KE; knee extensor, KF; knee flexor. *Denotes significance at p<0.05
When shoe condition was not considered, the 5 km time trial induced fatigue in both the knee extensor and knee flexor muscles during a static contraction. Average peak strength of both muscles decreased by 11 Nm after the time trial (Figure 3). Fatigue was also observed in the knee flexor muscles at the slowest dynamic contraction speed of 60˚/s. However, there was no difference in leg muscle fatigue between trials run in the CFP shoes and the non-CFP shoes, contrary to a previous study that suggested attenuated fatigue wearing CFP shoes (17). Nonetheless, the results of this study are remarkable because they suggest recreational athletes can run faster in CFP shoes than non-CFP shoes without increasing the fatigue manifestations of a race or training bout. The implications for running performance include higher-level training sessions with no added stress and faster returns to training post-race, leading to long-term performance enhancements.
In conclusion, running shoe companies may want to consider marketing CFP shoes to recreational runners, because this study provides evidence of large performance gains for this population when wearing CFP shoes.

Figure 4: The total number of speed increases and decreases in each shoe during the 5 km time trial.
Results on Sex Differences
On average, males ran significantly faster than females when wearing non-CFP and CFP running shoes. Pacing strategies between males and females differed in the non-CFP shoe but not the CFP shoe. In the non-CFP shoe, males decreased their speed 21 percent of the time, whereas females decreased their speed only 5 percent of the time (Figure 4).

Furthermore, there were differences between sexes in the non-CFP and CFP shoe in the changes in 1km splits. In both the non-CFP and CFP shoe, the females consistently sped up throughout their time trial, with the fifth kilometer being the fastest. For the males, the fourth kilometer was slower than the second and third kilometer in the non-CFP shoe, showing they slowed down in the middle of their time trial.
In the CFP shoe, the first four kilometers were similar, with the fifth kilometer being significantly faster than the fourth (Figure 5). This aligns with previous research, as many researchers report females to have more stable and/or negative split paces compared with males in distance events from the 5 km to the marathon (2, 3, 5).

As for differences in pacing between the shoes, the females paced similarly in both shoes. However, the males paced more evenly in the CFP shoe, showing the CFP shoe may have an influence on pacing strategy.
It is important to note that all previous research done on this topic has been observational studies in real races, whereas in this study the runners ran on a treadmill doing a time trial (2, 3, 5). When running on a treadmill, runners actively change their pace by pushing a button, whereas in a road race, many other environmental factors contribute to pacing. Therefore, these results may not translate to real-world racing conditions and more research should be done to see differences in non-CFP and CFP shoe pacing strategies.
Results on Gait
In this study, participants had the shortest (best) contact time in the CFP shoes, which was significantly better than the non-CFP shoes (Figure 6). The decrease in contact time is supported by previous research, showing that an increase in flight time correlates to a decrease in contact time in elite runners (8).

Figure 6: The changes between each shoe in contact time, foot strike, stride length, and step rate.
In addition, we found a significant difference in stride length, with the CFP shoe having the longest stride length (Figure 6), which is consistent with previous research (6). No significant differences were found in step rate (cadence) between the shoes (Figure 6). We also did not find a significant difference in foot strike (Figure 6), although the non-CFP shoe trended toward a more forefoot strike. This is consistent with previous research showing an increase in forefoot strike in CFP shoes (4). Our study showed that CFP shoes decrease the contact time and increase the stride length in recreational runners, resulting in a faster performance time.
Conclusion
Overall, this study provided evidence that CFP shoes significantly enhance performance in recreational runners by reducing 5 km race times without increasing physiological effort. In addition, this study found changes in gait mechanics during the 5 km with decreases in contact time and increases in stride length when wearing CFP shoes. Contrary to prior research, this study did not find significant differences in pacing strategies between male and female recreational runners when wearing CFP shoes. It is important to note that treadmill running performance may not translate to running performance in actual road or track races. However, this study did provide relevant insight into the effect of CFP shoes in a novel population of recreational runners, which may benefit both runners looking for performance enhancements, and shoe companies looking to market their shoes to a broader population.
This project taught us perseverance and allowed us to experience collaborative research. We learned how to troubleshoot and pivot when things did not go as planned and we were able to adjust deadlines as needed. We had to work as a research team to learn each other’s strengths and weaknesses and adapt to ensure each person’s abilities were harnessed to complete the goals of the research study. This was not always easy, but we found a way to overcome challenges as a group. We are each currently writing manuscripts, with a goal of becoming published in peer-reviewed journals in the near future. This undergraduate research experience provided us with invaluable opportunities for our professional careers, but also for our individual growth, that will undoubtedly prepare us for success in whatever our futures may bring after graduation.
We would like to thank Dr. Summer Cook for guidance and support throughout this research project. Her expertise and constructive feedback greatly contributed to the quality and rigor of this research. Additionally, we would like to thank Dr. Ferdinand Delgado for his guidance and expertise with biomechanics variables and data analysis. We would also like to thank Mr. Dana Hamel for his financial support of our Summer Undergraduate Research Fellowships. Lastly, we would like to thank Owen Daigle for his help with data collection as a part of his Undergraduate Research Award through the Hamel Center for Undergraduate Research.
References
- Besson, T., Macchi, R., Rossi, J., Morio, C. Y. M., Kunimasa, Y., Nicol, C., Vercruyssen, F., & Millet, G. Y. (2022). Sex differences in endurance running. Sports Medicine, 52(6), 1235–1257.
- Cuk, I., Nikolaidis, P. T., & Knechtle, B. Sex differences in pacing during half-marathon and marathon race. Research in Sports Medicine. 2020;28(1):111–20.
- Deaner, R. O., Lowen, A. Males and females pace differently in high school cross-country races. Journal of Strength and Conditioning Research. 2016 Nov;30(11):2991–7.
- Fu, F., Levadnyi, I., Wang, J., Xie, Z., Fekete, G., Cai, Y., & Gu, Y. (2021). Effect of the construction of carbon fiber plate insert to midsole on running performance. Materials (Basel, Switzerland), 14(18), 5156.
- Hanley, B. Pacing, packing and sex-based differences in Olympic and IAAF World Championship marathons. Journal of Sports Science. 2016 Sep;34(17):1675–81.
- Hébert-Losier, K., & Pamment, M. (2023). Advancements in running shoe technology and their effects on running economy and performance — a current concepts overview. Sports Biomechanics, 22(3), 335–350.
- Hébert-Losier, K., Finlayson, S. J., Driller, M. W., Dubois, B., Esculier, J.-F., & Beaven, C. M. (2022). Metabolic and performance responses of male runners wearing 3 types of footwear: Nike Vaporfly 4%, Saucony Endorphin racing flats, and their own shoes. Journal of Sport and Health Science, 11(3), 275–284.
- Hoogkamer, W., Kipp, S., & Kram, R. (2019). The biomechanics of competitive male runners in three marathon racing shoes: A randomized crossover study. Sports Medicine, 49(1), 133–143.
- Hoogkamer, W., Kipp, S., Frank, J. H., Farina, E. M., Luo, G., & Kram, R. (2018). A comparison of the energetic cost of running in marathon racing shoes. Sports Medicine, 48(4), 1009–1019.
- Muniz-Pardos, B., Sutehall, S., Angeloudis, K., Guppy, F. M., Bosch, A., & Pitsiladis, Y. (2021). Recent improvements in marathon run times are likely technological, not physiological. Sports Medicine, 51(3), 371–378.
- Nielsen, A., Franch, J., Heyde, C., De Zee, M., Kersting, U., & Larsen, R. G. (2022). Carbon plate shoes improve metabolic power and performance in recreational runners. International Journal of Sports Medicine, 43(9), 804–810.
- Ortega, J. A., Healey, L. A., Swinnen, W., & Hoogkamer, W. (2021). Energetics and biomechanics of running footwear with increased longitudinal bending stiffness: A narrative review. Sports Medicine, 51(5), 873–894.
- Pons, M. S., Hunter, S. K., & Ansdell, P. (2023). Sex differences in fatigability and recovery following a 5 km running time trial in recreationally active adults. European Journal of Sport Science, 23(12), 2349–2356.
- Reynolds, S. R., Hastert, L. M., Nodland, N. M., Matthews, I. R., Wilkins, B. W., & Gidley, A. D. (2023). The effect of carbon fiber plated shoes on submaximal running mechanics in non-elite runners. Footwear Science, 15(3), 171–177.
- Rodrigo-Carranza, V., Hoogkamer, W., Salinero, J. J., Rodríguez-Barbero, S., González-Ravé, J. M., & González-Mohíno, F. (2023). Influence of running shoe longitudinal bending stiffness on running economy and performance in trained and national level runners. Medicine & Science in Sports & Exercise, 55(12), 2290–2298.
- Rodrigo‐Carranza, V., González‐Mohíno, F., Santos‐Concejero, J., & González‐Ravé, J. M. (2022). The effects of footwear midsole longitudinal bending stiffness on running economy and ground contact biomechanics: A systematic review and meta‐analysis. European Journal of Sport Science, 22(10), 1508–1521.
- Ruiz-Alias, S. A., Pérez-Castilla, A., Soto-Hermoso, V. M., & García-Pinillos, F. (2023). The effect of using marathon shoes or track spikes on neuromuscular fatigue caused by a long-distance track training session. International Journal of Sports Medicine, 44(13), 976–982.
- Runner Space. 2022 Results—World Athletics Indoor Championships. Available from: https://worldindoor.runnerspace.com/eprofile.php?event_id=39&year=2022&do=info
- Song, Y., Cen, X., Chen, H., Sun, D., Munivrana, G., Bálint, K., Bíró, I., & Gu, Y. (2023). The influence of running shoe with different carbon-fiber plate designs on internal foot mechanics: A pilot computational analysis. Journal of Biomechanics, 153, 111597.
- Tenforde, A., Hoenig, T., Saxena, A., & Hollander, K. (2023). Bone stress injuries in runners using carbon fiber plate footwear. Sports Medicine, 53(8), 1499–1505.
- Vickers, A. J., & Vertosick, E. A. (2016). An empirical study of race times in recreational endurance runners. BMC Sports Science, Medicine and Rehabilitation, 8(1), 26.
- Williams, C., Nute, M. L. Some physiological demands of a half-marathon race on recreational runners. British Journal of Sports Medicine. 1983 Sep;17(3):152–61.
Author and Mentor Bios
Originally from Northborough, Massachusetts, Amanda Ares is an exercise science major who will graduate from the University of New Hampshire in September 2025. She has been involved in research since freshman year, helping with pilot testing for other students’ honors theses. She is the president of the Association of Exercise Science Students, where she helps with exposing students to careers in exercise science and community outreach. | ![]() |
Morgan Koskela is an exercise science major who will graduate from the University of New Hampshire in September 2025. She is from Barrington, New Hampshire. She furthers her passion for exercise as a personal trainer and group fitness instructor at the UNH Hamel Recreation Center and is a member of the Association of Exercise Science Students. | ![]() |
Allison Petry is an exercise science major and nutrition minor from Westbrook, Maine. She will graduate from the University of New Hampshire in September 2025 after completing an internship at MaineHealth cardiac rehabilitation in Scarborough, Maine, this summer. She promotes her passion for exercise at UNH as the vice president of the Association of Exercise Science Students, and as a group fitness coach at Orangetheory Fitness in Portsmouth, New Hampshire. | ![]() |
Summer Cook is an associate professor in the Department of Kinesiology at the University of New Hampshire, where she has been since 2009. Her main areas of research are aging, neuromuscular function, and resistance training, particularly blood-flow-restricted resistance training. Dr. Cook has served as a research mentor to over twenty different students who were awarded funding through the Hamel Center for Undergraduate Research.
Copyright 2025 © Amanda Ares, Morgan Koskela, Allie Petry